湖南省文旅厅湖南省发改委湖南省财政厅关于印发湖南省公共文化服务体系高质量发展五年行动计划(2021年-2025年)的通知
详细信息
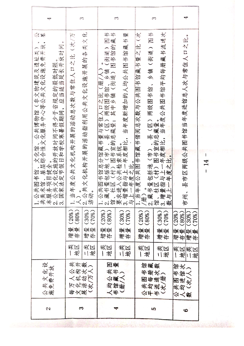
| 公开具体内容 |
![]() ![]() ![]() ![]() ![]() ![]() ![]() ![]() ![]() ![]() ![]() ![]() ![]() ![]() ![]() ![]() ![]() ![]() ![]() ![]() |
||
基本信息
| 所属领域 | 公共文化 | ||
| 一级事项 | 公共服务 | 二级事项 | 下基层辅导、演出、展览和指导基层群众文化活动 |
| 公开时限 | 信息形成或变更之日起20个工作日内公开 | 公开方式 | 主动 |
| 公开依据 | 《政府信息公开条例》、《文化馆服务标准》 | ||
| 公开主体 | 华容县文化旅游广电局 | ||
| 公开层级1 | 县级 | 公开渠道和载体 | 政府网站 |
- 详细信息
- 基本信息



















