当前位置:
首页
>
政府信息公开
>
部门信息公开目录
>
政府工作部门
>
县农业农村局
>
资金信息
索引号:446279480J/2025-2323732
发布机构:县农业农村局
公开范围:全部公开
生成日期:2025-01-22
公开日期:2025-01-22
公开方式:政府网站
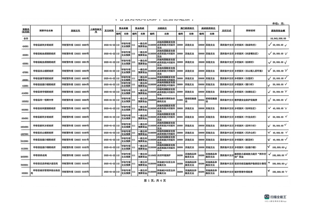
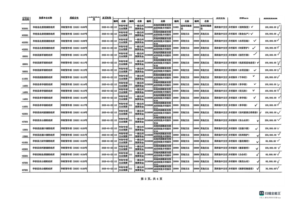
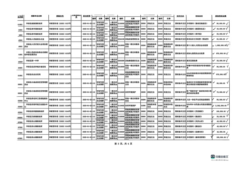
县本级资金564W-华财预专项[2025]0153号-乡村振兴
来源:华容县农业农村局
2025-01-22 09:45
浏览量:
1
|
|
|
|
扫一扫在手机打开当前页